-
Климатические агрегаты крышного типа TIREX производства ООО «Баир Вест» предназначены для вентиляции, обогрева и охлаждения помещений одноэтажных зданий с высокими потолками. К таким помещениям можно отнести производственные и складские помещения, спортивные и выставочные центры, супермаркеты и др.
ВОДЯНОЙ НАГРЕВ ПРЯМОГО ТИПА (ТЕПЛОНОСИТЕЛЬ: СЕТЕВАЯ ВОДА)
При жидкостном нагреве в агрегатах климатических наружного исполнения TIREX (руфтопах), в качестве теплоносителя может использоваться вода (при расположении теплообменника в помещении), либо незамерзающие жидкости при наружном расположении теплообменника (растворы пропилен- или этиленгликоля). В зависимости от теплоносителя и расположения нагревателя будет определяться и схема узла регулирования. При размещении теплообменника в помещении в качестве теплоносителя будет использоваться вода, подаваемая из тепловых сетей здания.
УЗЛЫ РЕГУЛИРОВАНИЯ ТЕПЛОНОСИТЕЛЯ
При использовании жидкостных теплообменников в агрегатах климатической серии TIREX узлы регулирования теплоносителя могут быть двух исполнений - с узлом, встроенным в корпус АК (встроенный узел регулирования) или вынесенным за пределы корпуса (выносной узел регулирования).
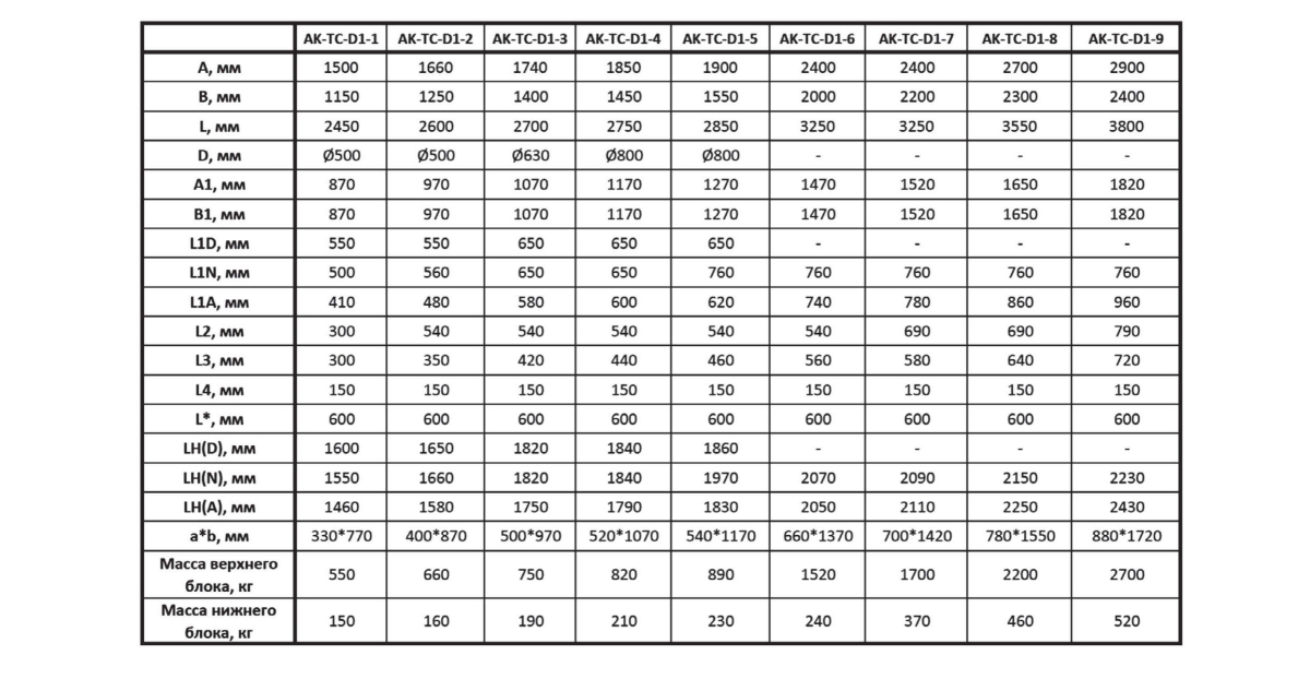
AK-TC-Dмакс. расход воздуха, кв.м/ч4600 - 27500мощность приточного вентилятора, кВт2 х 1.1 - 2 х 5.4мощность вытяжного вентилятора, кВт2 х 0.55 - 2 х 5.0мощность водяного нагревателя, кВт38.3 - 228.9ориентировочный расход теплноносителя, кв.м/ч1.32 - 7.88гидравлическое сопротивление, кПа2.8 - 3.8мощность охлаждения ХМ, кВт28.0 - 164.0мощность нагрева реверсивной машины ХМ, кВт36.0 - 210.0потребляемая мощность компрессора, кВт8.0 - 46.9фреонR410a, R407cнапряжение питания380В, 3 фазыОСНОВНЫЕ ПАРАМЕТРЫ И ХАРАКТЕРИСТИКИ AK-TC-D
